Table of Contents
.png?table=block&id=1e48572f-4728-81fb-8744-c4a3890bb9f6&cache=v2)
Do not index
Do not index
Navigating patient medical information can be difficult. Whether for your own care or a family member's, understanding the process is not always simple. I will walk through the Release of Information (ROI) step-by-step to provide clarity.
Authorization Allows Providers to Share Medical Records
An ROI is a form authorizing doctors to share a patient's files. Without a signed ROI, providers cannot legally disclose medical details, even if sharing could help.
The ROI allows care team members—doctors, nurses, specialists—to communicate about treatment. This ensures all involved are aligned for coordinated care.
The authorization specifies who can access what records and for which dates of treatment. It protects privacy while permitting access to necessary information. Patients also control file access.
Providers are Legally Obligated to Protect Patient Information
Providers must adhere to strict confidentiality laws. Whether electronic or paper records, strong security is required for sharing. This builds trust that sensitive data involves only the patient and care team.
Key laws like HIPAA set national standards for privacy, security and breach notification. State laws also govern medical record disclosure practices. Proper compliance with laws & regulations is vital for earning patient trust. Providers use encryption, access controls, auditing and other technical security measures to safeguard records. Strict policies also govern how employees handle sensitive health information. These practices help ensure personal medical data remains private and secure.
Have records already?
Then you probably have a lot of them. Let HealthKey transform 100s of medical records into a simple patient outline.
Learn how → gethealthkey.com
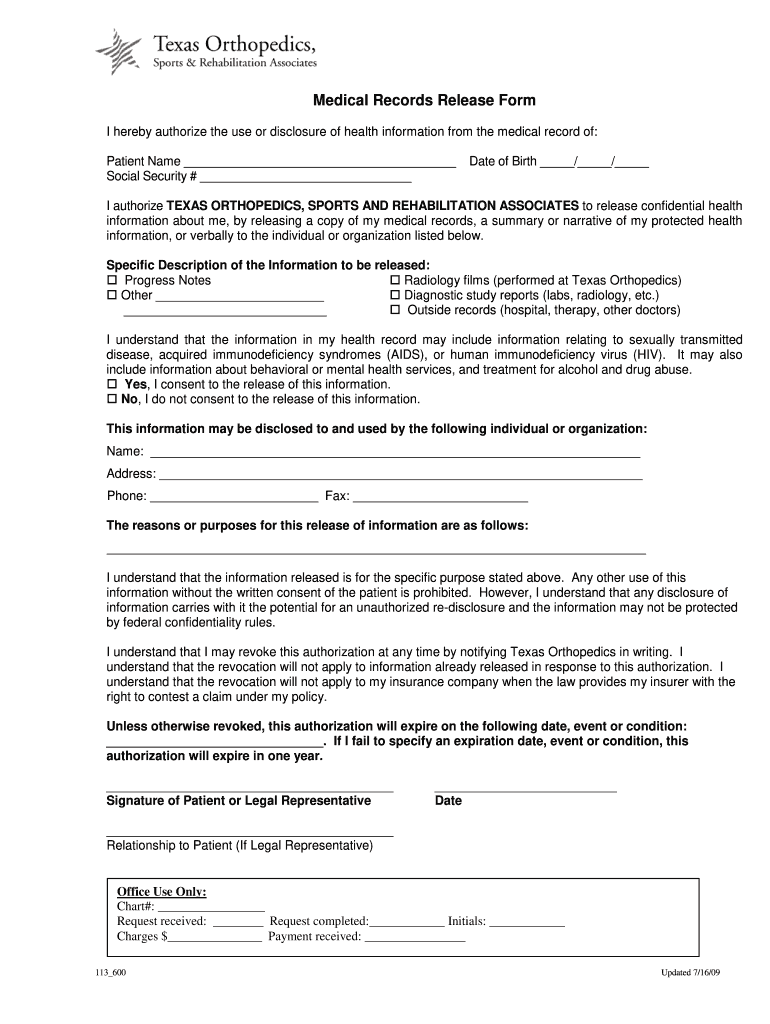
Example of a Good Release of Information Form
A good Release of Information form should be clear, concise, and easy to understand. It should include all necessary information such as the patient's name, date of birth, and specific details about the information to be released. It should also specify who is authorized to receive the information and for what purpose.

Navigating the Process of Obtaining Medical Records
To actually get a patient's actual medical records - here are the basics:
- Put It In Writing - Providers are required by law to respond quickly (usually 30 days, varies by state) when patients ask for their files in a written request.
- Fill Out the Forms - Patients will need to complete your ROI.
- Reach Out to the Office - Then call, email, or send a letter to the provider's Release of Information department to let them know you're requesting the records.
- Give the Important Details - Providers are allowed to give out some identifying info about the patient and where their health records are stored. This helps speed things up to get the right files to the right person.
Don't forget, these requests have to be handled promptly. And the forms have lots of important details to fill in. Proper record requests mean better care for patients in the end.

Simplifying Medical Record Retrieval with Professional Help
Medical record collection and retrieval services can assist individuals by directly requesting records from multiple providers on their behalf. This centralized approach may reduce workload for patients and improve efficiency when comprehensive medical histories are needed from different sources.
